相关文章推荐
发财的黄花菜  ·  【Mask ...·  2 年前    · 
严肃的麻辣香锅  ·  java - security ...·  2 年前    · 

基于PyQt5的简单RMSE计算小工具研究

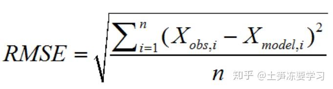
最近经常做地波测试,工作流程就不啰嗦了,就是把n个测量值和理论值进行比较,计算均方根误差(RMSE)

往年都是大冷天的先用手抄下来,一抄就是几百条,然后回去又填1遍excel慢慢算,纯粹体力活

趁着周末看机房,试试用PyQt5研究一下 看能不能做个小工具,方便现场用

Part-1 画好UI


利用PyQt5 UI code generator转成py代码,名字就叫ui_groundwavetest.py好了

Part-2 运算代码

from PyQt5 import QtCore, QtGui, QtWidgets
from ui_groundwavetest import Ui_MainWindow as UIM
class NewUiMainWindow(UIM):
    def setupFunction(self):
    def getRMSEValue(self)# 计算均方根误差

(1)文本框(lineEdit)读取数值和设置内容

Value = Self.lineEdit.text() #返回文本框内的值(str),由于要数学运算,用int()或者float()转成数字