相关文章推荐

3.23 Matplotlib进阶绘图——Latex风格数学公式

专栏 / 3.23 Matplotlib进阶绘图——Latex风格数学公式

3.23 Matplotlib进阶绘图——Latex风格数学公式

2024年01月06日 16:22 --浏览 · --点赞 · 梦幻加工厂
粉丝: 211 文章: 59

一、Matplotlib中Latex文本基本语法

在matplotlib中,经常需要在文本中显示数学公式,我们可以在原始字符串在引号前加一个 'r' ,并将需要使用Latex风格的文本用美元符号($)将数学文本括起来,这样即可添加latex文本。

例如


二、上标与下标

上标用‘^’来表示,下标用'_'来表示,如果想在上标和下标后表示多个字符,应添加‘{ }’ 花括号。


三、常见的希腊字母和希伯来字母

这些字母,前面应添加 ‘ \ ’ 并添加相应的文本,例如上文的 α 则使用‘\alpha’来表示,更多字母见下面表格。

1. 小写希腊字母

2. 大写希腊字母

3. 希伯来字母


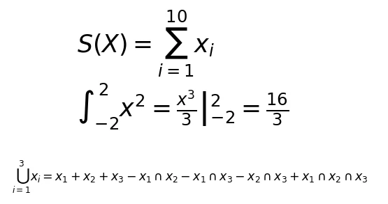
四、 数学表达式及符号

1. 分式、根式以及带上下线表达式

例如

2. 特殊括号

对于使用大括号的,可以使用 \left \right 匹配中间公式的高度。如果只要一边,需要使用 \left.

例如


3. 二项式、叠式

分数使用 ‘\frac{}{}’, 二项式使用 ‘\binom{}{}’,叠式数字使用‘\genfrac{}{}{}{}...’。


4. 可变大小的符号

这些符号可以在其上方或下方显示式子。


5. 标准函数名


6. 二元运算符

7. 箭头


8. 其他符号

流体的欧拉方程


9. 重音符

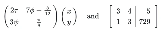
10. 矩阵和数组的表达

由于存在兼容问题,目前尚未找到在python的matplotlib中显示矩阵或者数组的Latex表达,若以后解决,该部分再补充。

Latex矩阵数组表达式例子


五、字体

Latex默认字体为斜体,可使用 '\' + 字体参数+'{}'来表示,需要修改字体的文本应放在中括号中,常见字体如下:



参考:

https://zhuanlan.zhihu.com/p/522724800?utm_id=0

https://zhuanlan.zhihu.com/p/517681148

 
推荐文章