传热学之黑体辐射定律

传热学之黑体辐射定律

2 年前 · 来自专栏 数学物理之美

前言:图解普朗克黑体辐射定律,维恩位移定律,斯蒂芬玻尔兹曼定律。

普朗克黑体辐射定律 描述,在任意 温度 T下,从一个 黑体 中发射出的 电磁辐射 辐射率 频率 彼此之间的关系。

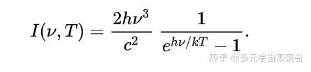
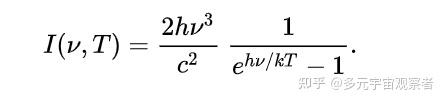
一定温度的黑体在特定波长的辐射出射度(单位面积的辐射功率),也叫光谱辐射出射度,可用如下公式表示。

公式1 光谱辐射出射度

可见,辐射出射度是温度和频率(波长的函数)。使用matlab对不同温度黑体在不同波段的辐射出射度进行计算,可以得到如下图所示的3D图形。

其中红色曲线为维恩位移定律曲线,描述了黑体辐射峰值与温度的关系。可见,随着温度的升高,辐射峰值向短波方向移动。

图1 黑体辐射定律

通常,教科书上呈现的是图2所示的图形。但明显图1所示的图形更加直观。

图2 光谱辐射出射度与温度和波长的关系

温恩位移定律描述了黑体的辐射峰值与温度的关系。公式如下:

公式2 黑体的峰值辐射波长
图3 维恩位移定律

将公式1对所有频率(波长)进行积分,得到黑体的辐射出射度和温度的关系,此即斯蒂芬玻尔兹曼定律。表达式如下:

公式3 斯提芬-玻尔兹曼定律
图4 斯蒂芬玻尔兹曼定律

图4描述了不同温度下的峰值辐射波长(绿色线条)和不同温度下的全光谱辐射出射度(蓝色线条)。

公式1除以 2\pi 即可得到光谱辐射亮度(单位面积黑体在特定波长处向单位立体角内辐射的功率),单位 W\cdot m^{-2}\cdot sr^{-1}\cdot\mu m^{-1}

一般情况下,我们重点关注黑体(灰体)在特定波段的辐射特性,因此将公式1对特性波段积分,就得到了不同温度黑体在特定波段的辐射出射度。公式如下:

E_{a-b \mu m}(T)=\int_{a\mu m}^{b \mu m}E(\lambda,T)d\lambda

例如,研究红外辐射在大气中传输时。重点关注三个波段,1~3μm,3~5μm,8~14μm,亦俗称的大气窗口。

则不同黑体在以上三个波段的辐射出射度如下

E_{1-3 \mu m}(T)=\int_{1\mu m}^{3 \mu m}E(\lambda,T)d\lambda

E_{3-5 \mu m}(T)=\int_{3\mu m}^{5 \mu m}E(\lambda,T)d\lambda

E_{8-14 \mu m}(T)=\int_{8\mu m}^{14 \mu m}E(\lambda,T)d\lambda

图5 黑体在不同波段的辐射特性与温度的关系

由图5可知,不同温度黑体(灰体)在不同波段的辐射特性不同。

温度在600K(326.85℃)以下时,黑体(灰体)辐射以长波辐射为主,长波>中波>短波。地面装甲车辆的辐射特性基本处于该温度范围。

温度处于650K~1100K(376.85℃~826.85℃)之间时,黑体(灰体)辐射以中波辐射为主。尤其当温度在820K以下时,中波>长波>短波;当温度在820K以上时,中波>短波>长波。武装直升机及运输机发动机的辐射特性基本处于该温度范围。对于此种目标,采用中波制导武器最容易锁定目标。

当温度进一步上升,温度大于1100K(826.85℃)时,目标以短波辐射为主。战斗机及导弹尾焰的温度通常高于此温度,因此对于此类目标,采用短波红外制导武器最为有效。

源代码如下(代码原创,转载请注明出处!):

编辑于 2021-05-24 23:57

文章被以下专栏收录

    数学物理之美

    数学物理之美

    道之为物,惟恍惟惚。惚兮恍兮,其中有物。